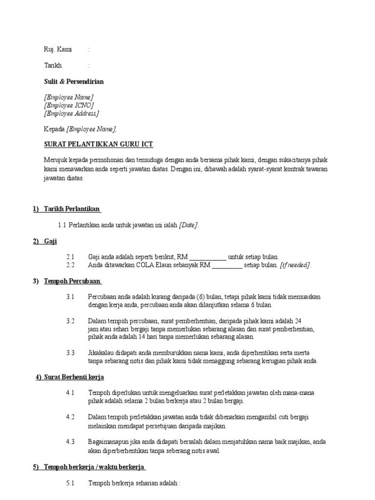
Notis Berhenti Kerja 24 Jam Dalam Tempoh Percubaan

Senarai pekerjaan dimuat semula dan dikemas kini setiap hari untuk memastikan anda disediakan dengan jawatan kosong yang terkini.
Notis berhenti kerja 24 jam dalam tempoh percubaan. Contoh surat perletakan jawatan 24 jam 2 minggu sebulan berikut dikongsikan adalah maklumat tentang contoh surat berhenti kerja yang terbaik dalam bahasa malaysia. Maukerja my job site nombor 1 malaysia untuk pencari kerja yang berbahasa mandarin dan inggeris. Mengikut perjanjian notis 3 bulan seperti tertera dalam kontrak kerja. Jika anda ingin berhenti secara 24 jam perbincangan dgn hr adalah dari segi pengurangan jumlah yg perlu dibayar kepada syarikat 3xbulan gaji.
Terdapat pelbagai alasan dan sebab untuk seseorang berhenti kerja leaving your job antaranya adalah mendapat tawaran kerja yang lebih baik atau ingin menlanjutkan pelajaran ke peringkat lebih tinggi. 7 jalan 1 46a selingsing 7 taman niaga waris. Bagi yang ingin berhenti kerja dalam tempoh 24 jam ini contoh surat berhenti kerja notis 24 jam yang korang boleh jadikan rujukan. Surat rasmi berhenti kerja terbaik dalam bahasa melayu dan inggeris resignation latter atau surat rasmi berhenti kerja notis sebulan seminggu atau 24 jam.
Surat berhenti kerja notis 24 jam kampung hilir sentul pasar 51000 kuala lumpur bahagian sumber manusia puncak holding sdn. Saya kerja baru 8hari lepas tu saye berhenti dalam masa 24 jam. Persoalannya boleh tak kalau aku nak berhenti kerja notis 24jam memandangkan aku masih dalam tempoh percubaan. Notis penamatan kontrak ini hendaklah diberikan secara bertulis seksyen 12 4 akta kerja 1955 ia bolehlah diberikan pada bila bila masa dan hari di mana notis itu diberikan hendaklah dimasukkan dalam tempoh notis tersebut.
Waktu saya belum confirm bekerja dalam tempoh percubaan 9 bulan dlm agreement majikan ade mention pasal notis berhenti kerje kena letak notis sebulan berhenti. Notis berhenti kerja semasa dalam tempoh percubaan soalan pembaca. Seperti yang disebut dalam prinsip asas tadi. Aku baru bekerja selama sebulan dan masih dalam tempoh percubaan.
Rice bowl mempermudahkan pencarian kerja dan proses permohonan untuk anda. Ini kerana anda telah melanggar perjanjian kerja dgn syarikat jika berhenti 24 jam. Berikut dikongsikan contoh surat berhenti kerja terbaik yang mudah dan ringkas dalam bahasa melayu dan inggeris buat panduan pekerja yang berhasrat untuk meletakkan jawatan. Jenis dan format surat berhenti kerja notis 24 jam.
Di dalam offer letter ada bahagian termination of permanent staff iaitu selama sebulan notis. Dalam agreement tersebut ad tarikh start porbhition period n last date porbhition yang mengesahkan surat itu valid sampai tarikh saya last porbhition. Contoh surat berhenti kerja notis 24 jam sebulan dalam bm bi.